Los comicios de octubre en Chiapas, para la renovación del Congreso local y los 111 ayuntamientos, pueden ser un instrumento de distensión y reconciliación de los conflictos políticos, pero también podrían convertirse, si no se garantizan elecciones libres, transparentes y legales, en un elemento más de confrontación en ese estado y en el ambiente político nacional.
Con la presentación de una iniciativa de reformas a la Constitución en materia de derechos y cultura indígenas por parte del Poder Ejecutivo, el conflicto en Chiapas ha entrado en una nueva dinámica de oportunidades y riesgos implícitos. Durante las próximas semanas se pretende que el proyecto de ley siga el proceso legislativo especial: ser aprobado por el voto de las dos terceras partes de los miembros presentes del Congreso de la Unión y obtener la aprobación de la mayoría de las legislaturas de los estados y, de tener éxito en esta meta, convertirse en parte de la ley fundamental de nuestro país.
El proceso de reforma constitucional coincide con el desarrollo de un
proceso electoral más en el estado de Chiapas (1); el quinto desde el
levantamiento armado del primero de enero de 1994. En agosto de ese
año se celebraron elecciones federales de presidente de la República,
diputados y senadores al Congreso de la Unión y, en forma simultánea,
se llevó a cabo la elección de gobernador del estado; en 1995 se
renovaron la legislatura estatal y los ayuntamientos de los 111
municipios de la entidad; el año pasado se desarrollaron comicios
federales en los que se eligieron (en Chiapas) 12 diputados por el
principio de mayoría relativa y se votó -como parte de una
circunscripción plurinominal- por una lista de diputados de
representación proporcional y por otra de senadores.
En los próximos meses las elecciones pueden ser un instrumento de distensión y reconciliación de los conflictos políticos. Pero pueden no serlo y, al contrario, añadir un elemento más de confrontación en ese estado y en el ambiente político nacional. Cualquiera de estos escenarios depende de las condiciones en las que se organicen y se lleven a cabo las elecciones.
El día de la votación debe ser la culminación de un proceso político de competencia y negociación, y no esperar que sea apenas el principio de un proceso de solución de las diferencias políticas que existen en varias regiones del estado. Es indispensable que, de manera paralela y vinculada al proceso electoral, se realice un trabajo intenso y responsable de concertación entre los actores políticos y los grupos sociales en los municipios más conflictivos del estado.
San Andrés y los votos
La violencia que ha caracterizado a las zonas Norte, Altos y Selva en los dos últimos años no es un contexto propicio para que se lleven a cabo elecciones plenamente democráticas. Además, la existencia en algunos municipios de comunidades que han instituido ayuntamientos autónomos o paralelos es un hecho político que debe ser tomado en cuenta en cualquier solución integral. Para Chiapas la democracia pasa por una solución política más amplia que reconozca las distintas fuerzas políticas de las comunidades indígenas.
En los hechos resulta fundamental que la participación de la población, a través de procesos electorales para la elección de los órganos del poder público -legislatura estatal y ayuntamientos-, corresponda fielmente a la expresión plural que caracteriza a las distintas fuerzas locales, grupos sociales y partidos políticos en las comunidades, municipios y distritos electorales del estado. Para lograr esto es indispensable, en un primer momento, que se lleven a cabo elecciones libres, transparentes y legales para integrar órganos de gobierno legítimos; en un segundo momento, es necesario que a través de los mecanismos legales e institucionales (depositados en las propias autoridades constituidas: Ejecutivo estatal, Congreso local y ayuntamientos) se lleve a cabo un proceso de reforma que cristalice la propuesta de remunicipalización y redistritación electoral del estado. En la medida en que los indígenas y pobladores del estado (y, en particular, de las zonas de conflicto en las regiones Norte, Altos y Selva) se sientan adecuadamente representados se dotará a los órganos de gobierno municipales y estatales de la legitimidad y representatividad necesaria para alcanzar la paz en dichas zonas.

Este punto de ingeniería política, legal y electoral también se encuentra de manera destacada en los acuerdos de San Andrés, donde se señala que:
``Las legislaturas de los estados podrán proceder a la remunicipalización en los territorios en que estén asentados los pueblos indígenas, la cual deberá basarse en consulta a las poblaciones involucradas en ellas.
``Es conveniente prever a nivel constitucional los mecanismos necesarios que: aseguren una representación política adecuada de las comunidades y pueblos indígenas en el Congreso de la Unión y en los congresos locales, incorporando nuevos criterios en la delimitación de los distritos locales que correspondan a las comunidades y pueblos indígenas.''
De hecho, la remunicipalización y redistritación es una de las demandas originales zapatistas que busca hacer corresponder a los representantes políticos con sus representados ciudadanos.
En 1994, el entonces comisionado para la Paz, Manuel Camacho, ``hizo el compromiso de que habría un mayor número de distritos electorales de acuerdo con su composición poblacional y éstos serían diseñados con el propósito de que los indígenas tuvieran mayor representación política a nivel local y federal. Igualmente se habló sobre una reforma a la ley orgánica municipal para la creación de dos municipios en el actual territorio de Ocosingo y Las Margaritas, esto es, habría cuatro municipios en ellos. Además asumiendo compromisos del gobierno federal en ese sentido, el gobierno estatal había anunciado en abril de ese mismo año que se crearían los distritos de Lacandonia, Marqués de Comillas y Guadalupe Tepeyac'' (2). Estas promesas no se plasmaron en las reformas electorales de 1995 en el estado de Chiapas.
Es evidente la importancia que tienen las elecciones a pesar de (o, incluso, debido a) la existencia de un conflicto político que rebasa lo estrictamente electoral; particularmente porque dentro de las facultades del Poder Legislativo de Chiapas se encuentra la posibilidad de atender los conflictos políticos de los ayuntamientos, ya que puede crear o suprimir municipios dentro de los ya existentes, así como suspender o separar del cargo a los miembros de los cabildos (3). Asimismo, se debe considerar que el reconocimiento de los derechos de las comunidades indígenas y la concreción de su autonomía a través de la remunicipalización y la redistritación implicará (además de las reformas a la Constitución Política de los Estados Unidos Mexicanos) reformas a la Constitución estatal, la ley electoral local y la ley orgánica municipal, entre otras disposiciones jurídicas; reformas que a fin de cuentas señalan que el legislativo local -atendiendo al principio federalista de los artículos 40 y 116 de la Constitución federal- es el órgano competente para concretar la autonomía porque, aun con una reforma constitucional exitosa, le corresponde a las legislaturas estatales reglamentar las disposiciones en materia de remunicipalización, autonomía y procesos electorales por usos y costumbres.

La integración de los 111 ayuntamientos en Chiapas (a través de las elecciones del próximo octubre) tiene, por tanto, una importancia estratégica. De acuerdo con el artículo 115 de la Constitución general el municipio es la base de la división territorial y de la organización política y administrativa de los estados de la Federación. El gobierno local tiene a su cargo los servicios de agua, limpia, mercados y seguridad pública, entre otros, y es, además, la autoridad dotada formalmente de personalidad político-jurídica que actúa como intermediaria entre el ciudadano, la comunidad y los demás niveles de gobierno. En una región creciente del estado de Chiapas (que se extiende desde la Selva hacia el Norte a través de Los Altos) uno de los ejes del conflicto ha sido -desde un inicio- la lucha entre las bases del EZLN, los simpatizantes zapatistas o del PRD y los seguidores del PRI, por el control del territorio y los gobiernos municipales.
La nueva geografía electoral
El mapa electoral del estado de Chiapas cambió radicalmente de manera simultánea a la aparición del movimiento armado del EZLN. Los resultados de las elecciones federales de 1994 rompieron la tendencia de los procesos electorales anteriores (ver cuadro 1 y 2). Mientras que el Partido Revolucionario Institucional (PRI) obtuvo en 1988 89.9% de los votos emitidos y en 1991 obtuvo 72.6%, en 1994 su votación se redujo a 48%. En cambio, el Frente Democrático Nacional (FDN) obtuvo en 1988 6.6%, en 1991, el Partido de la Revolución Democrática (PRD) obtuvo 5.7%, pero en 1994 alcanzó 33.9%. El Partido Acción Nacional (PAN), por su parte, que entre 1982 y 1988 obtuvo en promedio 3.3% y pasó apenas a 5. 9% en 1991, en 1994 llegó hasta 12.3%.
Estos cambios en el mapa electoral también se expresaron en la elección de gobernador de 1994, cuando el PAN obtuvo 91 mil 125 votos, el PRI 502 mil 687 y el PRD 348 mil 735, rompiendo todo precedente histórico en los resultados electorales obtenidos por cada uno de los partidos políticos en este tipo de elecciones.
Por otra parte, en la elección de 1995 para renovar el Congreso local y los ayuntamientos de los 111 municipios del estado, se registró un abstencionismo de 53.4%
(902 mil 822) de los ciudadanos con derecho a votar inscritos en la lista nominal de electores (1 millón 638 mil 638), además de fuertes impugnaciones poselectorales. De esos comicios resultó que el Congreso del estado se integró con los siguientes diputados de partido: 3 del PAN, 23 del PRI, 6 del PRD, 1 del Partido del Frente Cardenista de Reconstrucción Nacional (PFCRN) y 2 del Partido del Trabajo (PT).
En cuanto a la integración de ayuntamientos, oficialmente se reconocieron los triunfos del PAN en 5 municipios, del PRI en 84, del PRD en 18, del PFCRN en 1 y del PT en 2.

Un caso especial fue el municipio de Ocosingo, donde el Consejo Municipal Electoral resolvió, el 14 de octubre de 1995, suspender las elecciones ordinarias, un acuerdo revocado por el Consejo Estatal Electoral. Posteriormente, el Congreso del estado convocó a elecciones extraordinarias en ese municipio para el 5 de noviembre de 1995. Sin embargo, el Consejo Estatal Electoral determinó no llevarlas a cabo por no existir condiciones adecuadas, por lo que el Congreso del estado integró un Concejo Municipal (4).
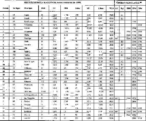
En general, las elecciones de ayuntamientos en varios municipios en 1995 se caracterizaron por diversos problemas: un elevado abstencionismo, resultados cerrados entre los principales contendientes y un número sospechosamente alto de votos nulos en algunos lugares (ver cuadro 3). Asimismo, se llevaron a cabo campañas electorales en un contexto de violencia dirigida (asesinato de líderes de organizaciones) y protestas de organizaciones sociales (toma de palacios municipales y bloqueo de carreteras) y hubo, como resultado, un ambiente político que volvió ingobernables varios municipios del estado.
Escalamiento o distensión
En el proceso electoral de este año en Chiapas está en juego nuevamente la composición del Congreso local y la integración de los ayuntamientos. Estas elecciones significan un riesgo más de escalamiento del conflicto, pero también una oportunidad (como también lo han sido potencialmente las anteriores elecciones) de distensión y equilibrio.
Las elecciones locales de este año en Chiapas arrojarán una nueva configuración política que repercutirá inevitablemente en el curso del conflicto entre los zapatistas y el gobierno federal. En este contexto, la democracia electoral puede convertirse en un instrumento poderoso para la paz y la reconciliación; esto es, si se sigue una ruta que pase, necesariamente, por la traducción fiel de los acuerdos de San Andrés en leyes fundamentales de la nación y por la representación de las comunidades indígenas por parte de autoridades constituidas a través de elecciones creíbles. La legitimidad de las autoridades se traduciría así en paz en las comunidades, efectividad de gestión, seguridad pública y la erradicación de conflictos poselectorales. Se contribuiría entonces a cortar el círculo perverso de violencia que se ha desatado desde 1995 en varias comunidades que carecen de autoridades con representatividad y legitimidad plenas. La falta de representatividad de las autoridades electas para conformar el Congreso local y los ayuntamientos provoca, por otra parte, la extensión de la violencia y las divisiones políticas inter e intracomunitarias.
Esto es lo que produjeron los comicios locales de 1994 (en los que se eligió gobernador del estado) y de 1995 (ayuntamientos y diputados locales). En el municipio de El Bosque la falta de credibilidad de los procesos electorales desembocó en la constitución -el 26 de diciembre de 1995- del municipio autónomo de San Juan de la Libertad. En los comicios de octubre de dicho año el abstencionismo fue de más de 72% de la población. Un sector mayoritario de la población creó una autoridad paralela a través de una normatividad ajena al marco legal electoral estatal; lo mismo sucedió en los municipios de San Andrés Larráinzar y San Pedro Chenalhó (5).
El objetivo de un sistema democrático es consolidar la legitimidad del poder político; en otras palabras, la legitimidad política es la plena convicción de los ciudadanos de que el gobierno en funciones tiene el derecho a gobernar y por tanto le reconoce su autoridad. Si en el proceso político nacional los procesos electorales se han convertido en el medio necesario para la elección y legitimación de los gobernantes, en Chiapas no han cumplido su cometido plenamente.
Por ello, el avance del proceso de pacificación y reconciliación en Chiapas depende, por una parte, de la forma en que se defina la autonomía de las comunidades indígenas y en la materialización de la misma en el orden normativo federal y local, y en las relaciones concretas que se establezcan con las instancias de gobierno estatal y federal. Por otra parte, depende del ``cauce democrático y jurídico'' que se dé a las distintas fuerzas regionales y expresiones políticas en el estado en un plazo inmediato para el retorno a un pleno estado de derecho en Chiapas.
Cumplir los acuerdos
Según los acuerdos de San Andrés ``la autonomía es la expresión concreta del ejercicio del derecho a la libre determinación''. Sin una consagración jurídico-política de la autonomía y la institución de procedimientos democráticos en la elección de gobernantes no habrá paz ni estabilidad en el largo plazo en Chiapas.
La vía del derecho en la cristalización de la autonomía implica el reconocimiento pleno de los acuerdos de San Andrés en lo general y, en lo particular, los puntos que versan sobre la representación política de las comunidades indígenas. Al respecto, los acuerdos establecen:
``La legislación nacional debe reconocer a los pueblos indígenas como los sujetos de los derechos a la libre determinación y autonomía.

``Ha de asegurarse la participación y representación políticas local y nacional de los pueblos indígenas en el ámbito legislativo y los niveles de gobierno, respetando sus diversas características socioculturales a fin de construir un nuevo federalismo.''
Los resultados electorales de cada proceso y la composición del Congreso local, los ayuntamientos y la delegación chiapaneca a las cámaras de Diputados y Senadores del Congreso de la Unión han repercutido, a su vez, en la dinámica política del estado y entre las comunidades simpatizantes del EZLN y los partidos políticos durante todo el curso del periodo 1994-1997. Un número de municipios en las zonas Norte y Altos, principalmente, carecen de autoridades representativas, lo que ha ocasionado, además de contar con gobiernos autónomos o paralelos, violencia entre grupos antagónicos.
La salida a esta vertiente del conflicto chiapaneco requiere que las elecciones de 1998 sirvan como vía para la elección de autoridades verdaderamente representativas y legítimas. A partir de los resultados, es nece- sario que posteriormente se lleve a cabo la remunicipalización y redistritación del estado de tal modo que se reconozca la representatividad política de la diversidad de grupos sociales y se fortalezca la autonomía de los pueblos indígenas.
Notas:
(1) El proceso electoral en el estado de Chiapas para renovar el
Congreso local y 111 ayuntamientos inició formalmente el 15 de enero
de este año, y el 4 de octubre tendrá verificativo la jornada
electoral, concluyendo el proceso el 30 de noviembre, término para que
el Tribunal Electoral del Estado resuelva toda controversia
electoral.
(2) María Eugenia Valdés Vega, ``Elecciones en un escenario de guerra
(Chiapas 1995)'', mimeo, Departamento de Sociología. UAM-Iztapalapa,
México, pp. 6-7.
(3) Constitución Política de los Estados Unidos Mexicanos, artículo
115 fracción I: ``Las legislaturas locales, por acuerdo de dos
terceras partes de sus integrantes, podrán suspender ayuntamientos,
declarar que éstos han desaparecido y suspender y revocar el mandato a
alguno de sus miembros, por alguna de las causas graves que la ley
local prevenga (É)''.
(4) Memoria del proceso electoral 1995, Consejo Estatal Electoral, Chiapas.
(5) No olvidaremos, Centro de Derechos Humanos Fray Bartolomé
de Las Casas, México, Impretei, 1997, pp. 10-13.
* Consejero Electoral del Instituto Federal Electoral
OJO OJO OJO ATENCION ENTRA MAPA DE CHIAPAS. GRACIAS
Chiapas
Municipios
con problemas
poselectorales en 1995
y que actualmente
se consideran
zonas de riesgo.
OJO O JO OJO ATENCION ENTRA CUADO DE RESULTADOS
GRACIAS
VT: Votación total recibida en cada municipio.
L. Nom: Lista nominal de electores.
V/LN: Porcentaje de ciudadanos de la lista nominal que votaron.
AA: Municipios con existencia de ``Ayuntamientos autónomos''.
PyJ: Municipios considerados por el grupo Paz y Justicia como ``zonas de conflicto''.
ZRM:Municipios con retenes militares.
ZPM: Municipios con patrullas militares en constante movimiento.
GPM: Municipios con presencia de grupos paramilitares.
** Fuentes:Ni Paz ni Justicia o Informe
general y amplio acerca de la guerra civil que sufren los Ch'oles en
la zona norte de Chiapas, Centro de Derechos Humanos Fray
Bartolomé de las Casas, San Cristóbal de las Casas, Chiapas, 1996;
Ni Derechos ni Humanos en la zona norte de Chiapas, Desarrollo,
Paz y Justicia, AC, Tila, Chiapas, 1997; y Chiapas, la guerra en
curso, Centro de Derechos Humanos Miguel Agustín Pro Juárez, AC,
México, 1998.