La recuperación manufacturera (mayo 2021)
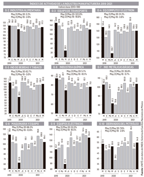
a producción manufacturera total en el país –medida por los índices de volumen físico que calcula el Inegi– se colocó en mayo de este año en 111.4 puntos, 48.0% de recuperación respecto a los 75.2 puntos de mayo 2020, pero aún -6.4% abajo de los 119 puntos de mayo 2019 (Gráfico 1). Tal recuperación se dio de hecho desde el segundo semestre de 2020, y no sobresale tampoco respecto a la base 100 de 2013. Un comparativo similar para las nueve principales ramas manufactureras, según el valor de su producción en 2020, indica:
La industria alimentaria se ubicó en mayo en 117.3 puntos, 3.2% arriba de los 113.7 puntos de mayo 2020 (año con impacto leve por la pandemia), y sólo -2.0% abajo de mayo de 2019 (Gráfico 2).
Equipo de transporte tuvo un índice de 119.5 puntos en mayo, 322% sobre el colapsado 28.3 de mayo 2020, pero todavía -19.8% abajo de mayo 2019 (Gráfico 3).
Equipos de cómputo, comunicación y accesorios electrónicos registró 140.0 puntos en mayo, un 31.2% de recuperación respecto a los 106.7 puntos de un año atrás, pero aún -3.8% abajo de los 145.4 de mayo 2019 (Gráfico 4).
Bebidas y tabaco elevó su índice de producción a 131.0 puntos este mayo, 62.7% arriba de los 80.5 de hace un año, pero todavía -3.0% abajo de los 135 puntos de 2019 (Gráfico 5).
La industria química, otra rama con impacto moderado, tuvo un índice de producción en mayo de 78.1, esto es, 5.1% sobre mayo de 2020, aunque aún -10.1% abajo de mayo 2019 (Gráfico 6).
Las industrias metálicas básicas indican 103 puntos en mayo, 26.8% arriba de los 81.3 de un año atrás, y ya superando marginalmente en 0.7% los 102.3 puntos de mayo de 2019 (Gráfico 7).
Maquinaria y equipo registró 104.1 puntos en mayo, 66.3% de recuperación desde los 62.6 de un año atrás, pero aún -12.6% abajo de los 119.1 de 2019 (Gráfico 8).
Fabricación de equipos eléctricos alcanzó un índice de 134.8 en mayo, 53.3% sobre mayo de 2020, e incluso 18.5% superior a mayo 2019 (Gráfico 9).
La producción de derivados del petróleo y el carbón tuvo este mayo un índice de 54.8 puntos, 7.6% sobre mayo de 2020 y 2.6% sobre mayo 2019 (Gráfico 10).
UNIDAD TÉCNICA DE ECONOMÍA S.A de C.V. Ciudad de México Tel/fax 55 5135 6765 unite@i.com.mx












